Notes
"Universal" Calculation of Current Gain for all circuits......
HERE
Bipolar Junction Transistor
DC Analysis
Emitter Stabilised Bias
Voltage Divider Bias
Collector Feedback Bias
AC Analysis
Calculation of r
e
.....
HERE
Bypassed Emitter Resistor (Common Emitter Configuration)
Hybrid Equivalent Model.....
HERE
r
e
Equivalent Model.....
HERE
Bypassed Emitter Resistor
Unbypassed Emitter Resistor
Common Collector Configuration
Common Base Configuration
Field Effect Transistor
DC Analysis
Self Bias Configuration
Voltage Divider Configuration
AC Analysis
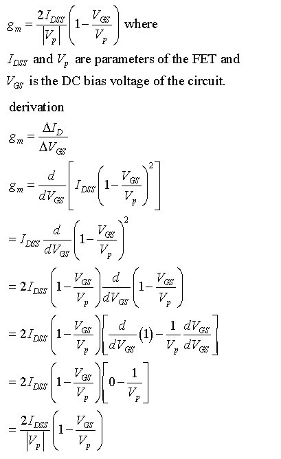
Calculation of g
m
.....
HERE
Bypassed Source Resistor (Common Source Configuration)
Unbypassed Source Resistor
Common Drain Configuration
Common Gate Configuration
EL22C Homepage